ASTROLOJİ
ÜYELİK
İLETİŞİM
YAZARLAR
Mustafakemalpaşa
Mustafakemalpaşa Belediyesi
Kemalpaşa Tatlısı
Mücadele Haber
Köşe Yazarları
Profil
İçerik Yönetimi
İçerik Ekle
Yazar Sayfam
Çıkış Yap
Mustafakemalpaşa
Mustafakemalpaşa Belediyesi
Kemalpaşa Tatlısı
Mücadele Haber
Köşe Yazarları
DOLAR
42,5291
EURO
49,5628
ALTIN
5.744,63
BIST
11.007,37
Adana
Adıyaman
Afyon
Ağrı
Aksaray
Amasya
Ankara
Antalya
Ardahan
Artvin
Aydın
Balıkesir
Bartın
Batman
Bayburt
Bilecik
Bingöl
Bitlis
Bolu
Burdur
Bursa
Çanakkale
Çankırı
Çorum
Denizli
Diyarbakır
Düzce
Edirne
Elazığ
Erzincan
Erzurum
Eskişehir
Gaziantep
Giresun
Gümüşhane
Hakkari
Hatay
Iğdır
Isparta
İstanbul
İzmir
K.Maraş
Karabük
Karaman
Kars
Kastamonu
Kayseri
Kırıkkale
Kırklareli
Kırşehir
Kilis
Kocaeli
Konya
Kütahya
Malatya
Manisa
Mardin
Mersin
Muğla
Muş
Nevşehir
Niğde
Ordu
Osmaniye
Rize
Sakarya
Samsun
Siirt
Sinop
Sivas
Şanlıurfa
Şırnak
Tekirdağ
Tokat
Trabzon
Tunceli
Uşak
Van
Yalova
Yozgat
Zonguldak
İstanbul
Az Bulutlu
20
°C
İstanbul
20
°C
Az Bulutlu
Pazar
Yağmurlu
14
°C
Pazartesi
Çok Bulutlu
11
°C
Salı
Az Bulutlu
12
°C
Çarşamba
Çok Bulutlu
12
°C
ANASAYFA
EKONOMİ
GÜNDEM
SAĞLIK
ASAYİŞ
SPOR
POLİTİKA
EĞİTİM
MÜCADELE E-GAZETE
FOTO GALERİ
DİĞER
VİDEO GALERİ
KÜLTÜR SANAT YAŞAM
DÜNYA
MANŞETLER
KÖŞE YAZILARI
Giriş Yap / Üye Ol
ANASAYFA
EKONOMİ
GÜNDEM
SAĞLIK
ASAYİŞ
SPOR
POLİTİKA
EĞİTİM
MÜCADELE E-GAZETE
FOTO GALERİ
DİĞER
VİDEO GALERİ
KÜLTÜR SANAT YAŞAM
DÜNYA
MANŞETLER
KÖŞE YAZILARI
REKLAMI GEÇ
1
2
3
4
Bilgi: Klavye yön tuşlarını kullanarak galeri resimleri arasında geçiş yapabilirsiniz.
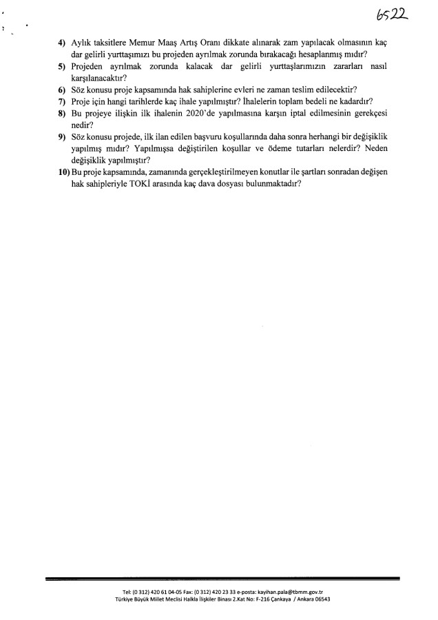
MİLLETVEKİLİ PALA’DAN ‘LALAŞAHİN TOKİ’ AÇIKLAMASI (4)
Anasayfa
MİLLETVEKİLİ PALA’DAN ‘LALAŞAHİN TOKİ’ AÇIKLAMASI
Paylaş
Tweetle
Gönder
Diğer Galeriler
DOĞA VE LEZZET ‘DAĞPINAR’DA BULUŞTU
KIRÇO’LARIN ACI GÜNÜ
BAŞKAN KANAR’DAN NİSA’YA ÖZEL SÜRPRİZ
CHP’YE ‘BAYRAK’ ADAY
BURAK ÇELİK, SAADET’TEN ADAY
GREV BAŞLADI, HOTKOP BURSA MESAİSİNE ÇIKTI
PAŞA ATEŞLE OYNUYOR
ASFALTLAMA TAM GAZ SÜRÜYOR
ÇIRPAN VE ROMAN PUAN ARAYACAK
ESNAF VE SANATKÂRLAR ODASI KONGREYE GİDİYOR
ALTYAPI İŞLERİ YAPTIRILACAK
BELEDİYE PERSONELİNE YANGIN TATBİKATI